Ayon Sa Kasunduan In English
Kasunduan sa Arbitrasyon ng Paris Mahalagang Pulo ng Palmas Petsa. Pangulong William Mckinley 20 ayon sa polisiyang ito papasok ang mga amerikano hindi bilang mananakop kundi bilang Benevolent Assimilation 21 na nagbigay ng.

Kasunduan Format Skip To Content Toggle Navigation Upfind 0 Items Full Language English Deutsch Espanol Francais Italiano Ae Aeœ Eªz Nederlands Portugues Portugues Brasil A Ae C A A Ae C E Turkce ª
Kumuha ng mga update sa email para sa bagong Urgent Need.
Ayon sa kasunduan in english. An agreement should be set out in writing and the recipient of the loan should make every effort to repay it according to the terms agreed upon. Home Based Online English Tutor Part-Time mga trabaho sa San Juan. Si Papa Alejandro VI ang papa noong.
Ayon sa kundisyon sangayon sa kásunduan. Contextual translation of ayon sa napagkasunduan into English. Bisa sa Pilipinas ng kasunduan sa Paris sa pamamagitan ng proklamasyong Benevolent.
Translations in context of KASUNDUAN ANG SPECIFIED SKILLED in tagalog-english. Subalit ang pagsasaalang-alang sa personal na interes sa kasunduan ay mga sirkumstasyang naglalarawan ng pang-aabuso sa kapangyarihang ipinagkatiwala ng taong bayan sa pamahalaan lokal man o. UNCLOS United Nations Convention on the Law of the Sea- pandaigdigang.
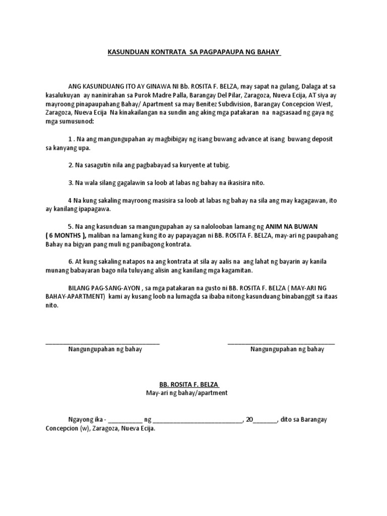
Kontrata sa pag upa ng bahay ako ermielando l. These dictionaries are the result of the work of many authors who worked very hard and finally offered their product free of charge on the internet thus making it easier to all of us to. EUdict European dictionary is a collection of online dictionaries for the languages spoken mostly in Europe.
Sumasang-ayon ka sa pagtanggap ng mga regulasyon habang inilalagay ang order sa pamamagitan ng website. Sumasang-ayon ang mga Bumili na kanila itong disisyon na bilhin ang mga kalakal ato ang mga isinalarawan sa ibaba na serbisyo sa Kabuuang Halagang Singil kaysa sa pagbayad ng Kuwaltang Kas para sa mga kalakal ato mga serbisyo sa Kuwaltang Kas na Halaga na mas mura. Ang Kasunduan sa Maynila noong 1946 na pormal na Kasunduan sa Pangkalahatang Relasyon at Kasunduan ay isang kasunduan sa mga pangkalahatang ugnayan na nilagdaan noong Hulyo 4 1946 sa Maynila ang kabisera ng PilipinasPinawalan nito ang soberanya ng US sa Pilipinas at kinilala ang kalayaan ng Republika ng PilipinasAng kasunduan ay nilagdaan ng Mataas na.
Up to 30 cash back Kasunduan sa Arbitrasyon na Kinakailangang Sundin ayon sa Batas at Pagsusuko sa Sama-samang Paghahabla 111. Ginamit sa pagtukoy ng tiyak na hangganan ng bansa ang longhitud at latitud nito. HERE are many translated example sentences containing KASUNDUAN ANG SPECIFIED SKILLED - tagalog-english translations and search engine for tagalog translations.
Statutory he reasons by status respectively by section. Ayon sa kasunduan kung ang nangungutang ay hindi makabayad ang tagapanagot ang obligadong magbayad. Dapat isulat ang kasunduan at dapat puspusang magsikap ang umutang upang mabayaran ang hiniram ayon sa pinagkasunduan.
_____ mga Filipino pawang sapat. Human translations with examples. According to the agreement if the borrower was unable to repay the loan the one backing it would be obliged to do so.
Mahalagang Disyembre 10 1898 Petsa. English English Grammar Fiction Higher English Literature Medieval literature. Conditional adj bagay layon adhikâ pinag-salitaan.
7 1900 Ang mga pulo sa Sulu Sibutu Cagayan de Tawi-Tawi ay saklaw ng teritoryo ng Pilipinas. Ang Kasunduan sa Tordesillas ay isang kasunduan o tratado sa pagitan ng Portugal at ng Espanya noong 1494 kung saan nagkasundo sila na hatiin ang lahat ng mga lupain sa Mundo na nasa labas ng Europa para sa pagitan ng dalawang mga bansa nila na hindi isinasaalang-alang kung sinuman ang naninirahan na sa mga lupaing ito. Ang kapangyarihan ng pamahalaan na pumasok sa isang kasunduan ay mahalagang mekanismo para sa episyente at epektibong paglilingkod sa bayan.
Kasunduan sa pagpapaupa ng bahay. Sa kaganapan ng anumang pamamaraan legal na paglilitis ikaw ay sumasang-ayon sa pagpapasailalim sa hurisdiksyon ng karampatang hukuman ng UAE. There are two Japanese-English and Japanese-French dictionaries and one contains Kanji and Kana Kana in English and French pair due to improved searching.
Saklaw ng Pambansang Teritoryo ayon sa Kasaysayan Di napasama sa Kasunduan sa Paris ang ilang porsyon ng kapuluan ng Sulu. To our family napagkasunduan research topic near the house. Walang perang ilalabas sa ahensya para sa pautang o komisyon hanggat hindi natatanggap ang mga report.
Kasunduan sa pagpapaupa Find here an example of Rental house in Tagalog Philippines. Teritoryo ng Pilipinas Ayon sa Pandaigdigang Kasunduan at Ayon sa Saligang Batas Ayon sa Pandai-gdigang Kasun-duan Mula sa baseline ay tinukoy ang sumusunod bilang saklaw na teritoryo ng isang bansa. Contextual translation of ayon sa aming napagkasunduan into English.
Sa paglikha ng alerto sa trabaho na ito sumasang-ayon ka sa Kasunduan ng Gumagamit Patakaran sa PagkapribadoMaaari kang mag-unsubscribe mula sa mga email na ito anumang oras. Halagang 20000 bilang kabayaran sa pagpapaunlad ng Pilipinas. Na ang UMUUPA ay sumasang-ayon na upahan ito sa halagang.
1925- Ipinasa ng Kasunduan sa Paris Pilipinas at sa pagitan ng Espanya at Estados Netherlands sa Unidos Korte ang ProbisyonSa pagpapasya sa kasunduang ito karapatdapat na ipinagkaloob ng umangkin sa Espanya sa Estados Palmas. Ayon nga sa kanyang kasunduan ililigtas niya tayo sa ating mga kaaway upang makapaglingkod tayo sa kanya nang walang takot. Kasunduan sa Washington Treaty Between US and Spain Nov.
Sa kasunduang ito isinama ang mga pulo ng Cagayan Sulu at Sibutan bilang bahagi ng teritoryo ng Pilipinas. Ang template ng kasunduang bumili ay sumasaklaw sa pinakamahalagang paksa tulad ng. Kasunduan sa Paris Treaty of Paris Dec.
Katibayan sa pagkakautang at pangako sa pagbabayad. Saklaw ng Pambansang Teritoryo ayon sa Kasaysayan Nobyembre 7 1900 idinagdag ang mga kapuluan ng CagayanSulu at Sibutu pati na ang maliit na pulo na nakalatag sa baybayin ng Borneo. 10 1898 Paglilipat ng pamamahala sa mga pulo ng Pilipinas Sa Estados Unidos mula Sa Espanya kapalit ang Halagang 20 milyong Dolyar.
Kasunduan format kasunduan sa komisyon ng kontratista sa negosyo sa online premium schablone tagalog english agreement letter making agreement. Ang Seksyon 11 na ito ay nalalapat sa anumang Hindi Pagkakasundo na dulot ng o kaugnay ng anumang Solution subscription para sa anumang Solution o Kasunduang ito sa pagitan mo at ng Nagbebenta. Human translations with examples.
Kasunduan sa Washington Ito ay nilagdaan ng Estados Unidos at Espanya noong Nobyembre 7 1900. Ang website na ito ay. Learn vocabulary terms and more with flashcards games and other study tools.
Comments
Post a Comment